James Fellows Yates (james_fellows_yates@eva.mpg.de)
2024-02-01 07:11:29

@James Fellows Yates has joined the channel

Vilma PΓ©rez (vilma.bq@gmail.com)
2024-02-01 07:11:46

@Vilma PΓ©rez has joined the channel

Vilma Perez (vilma.perez@adelaide.edu.au)
2024-02-01 07:11:46

@Vilma Perez has joined the channel

Fabien Voisin (fabien.voisin@adelaide.edu.au)
2024-02-01 07:38:44

@Fabien Voisin has joined the channel

Mikkel Winther Pedersen (mwpedersen@sund.ku.dk)
2024-02-01 08:45:22

@Mikkel Winther Pedersen has joined the channel

Meriam van Os (meriam.vanos@postgrad.otago.ac.nz)
2024-02-05 07:35:10

@Meriam van Os has joined the channel

James Fellows Yates (james_fellows_yates@eva.mpg.de)
2024-02-05 09:24:43

To kick off the introductions:

πŸ‘‹ I'm James - I'm one of the instructors of the workshop πŸ™‚. I'm currently based in Leipzig Germany, where I'm shared as a post-doc between the Leibniz Institute for Natural Product Research and Infection Biology - Hans KnΓΆll Institute, and the Max Planck Institute for Evolutionary Anthropology (Germans really like long institute names for some reason...)

I don't actually work on environmental DNA - in fact my original background wasn't in biology but rather archaeology - but from my PhD I've been applying and developing ancient metagenomics techniques to dental calculus from ancient humans, Neandertals, and Chimps/Gorillas.

However many of the concepts and methods overlap very much! So one component of my postdoc has been trying to improve the quality (and user experience) of running standard metagenomic pipelines through the nf-core initiative, and other aspects of bioinformatic analyses. Another component of my postdoc has been establishing and running the SPAAM summer school, some of the material you have already been sent as pre-reading for the workshop you will be attendingin a couple of weeks πŸ™‚.

nf-co.re
f1000research.com
πŸ‘‹ Jamie Wood, Roberta Davidson, Shyamsundar Ravishankar
πŸ‘‹:skin_tone_3: Meriam van Os
Matt Campbell (matthew.campbell@curtin.edu.au)
2024-02-05 15:50:22

@Matt Campbell has joined the channel

Jamie Wood (jamie.wood@adelaide.edu.au)
2024-02-05 23:51:41

@Jamie Wood has joined the channel

Jamie Wood (jamie.wood@adelaide.edu.au)
2024-02-06 00:17:26

Hi, I’m Jamie and I’m a senior lecturer in environmental genomics at the University of Adelaide. My background is in the natural sciences, having studied geology and zoology before undertaking a PhD in palaeoecology. It was during the latter stages of my PhD that I first picked up a pipette and tried to extract DNA from coprolites of the extinct moa :poop_party:, sparking an interest in ancient DNA that has now lasted 18 years! Much of my research now involves applying ancient DNA tools to study past biological change – from understanding the evolution and extinction of species, to reconstructing past interactions between species, and resolving the impacts of human settlement on insular ecosystems.

πŸ‘‹ James Fellows Yates, Roberta Davidson, Shyamsundar Ravishankar
πŸ‘‹:skin_tone_3: Meriam van Os
Roberta Davidson (roberta.davidson@adelaide.edu.au)
2024-02-06 01:08:23

@Roberta Davidson has joined the channel

Roberta Davidson (roberta.davidson@adelaide.edu.au)
2024-02-06 01:17:18

Hi all, I'm Robbi, based in Adelaide I have a background in genetics and I just finished my PhD at ACAD at the end of 2023. In my PhD I worked on a combination of human ancient DNA in South America and benchmarking 1240k capture methods for human ancient DNA. Since finishing I've been working on various things including ancient soil microbiome research and Australian Indigenous genomics.

πŸ‘‹ James Fellows Yates, Shyamsundar Ravishankar, Jamie Wood
πŸ‘‹:skin_tone_3: Meriam van Os
Siobhan Evans (siobhan.evans@adelaide.edu.au)
2024-02-06 04:40:57

@Siobhan Evans has joined the channel

Siobhan Evans (siobhan.evans@adelaide.edu.au)
2024-02-06 23:06:25

Hi all, I am Siobhan, a PhD candidate (about to be a year in) based in Adelaide at ACAD. My project focuses on sedimentary ancient DNA from caves within Australia with a strong focus on DNA preservation in this cave environment. I am also doing some work with stick-nest rat middens, using them as a source of ancient DNA. I look forward to meeting everyone when they arrive in a few weeks.

πŸ‘‹ James Fellows Yates, Roberta Davidson, Shyamsundar Ravishankar
πŸ‘ Jamie Wood
πŸ‘‹:skin_tone_3: Meriam van Os
Shyamsundar Ravishankar (shyamsundar.ravishankar@adelaide.edu.au)
2024-02-07 06:47:42

@Shyamsundar Ravishankar has joined the channel

Ying-Li Wu (ying-li.wu@uwa.edu.au)
2024-02-07 09:28:30

@Ying-Li Wu has joined the channel

Mikkel Winther Pedersen (mwpedersen@sund.ku.dk)
2024-02-07 11:07:35

Hello everyone, I am Mikkel and the second instructor. I am an assistant professor at the Centre for Ancient Environmental Genomics, University of Copenhagen in Denmark. I like James do not come with a background in genetics nor bioinformatics but has trained as a physical geographer. Which is where I gained my interest in past human and environments interactions, and started specialising and developing methods for how ancient eDNA can be used to study this from both geological and archaeological sedimentary deposits. And here I still am after almost 15 years. I strive to find/develop the best and most correct ways to process and validate ancient DNA from environmental samples and then there is an urge to push the boundaries of what is capable in both time and type of deposit.

πŸ‘‹ James Fellows Yates, Roberta Davidson, Vilma Perez, Shyamsundar Ravishankar
πŸ‘ Jamie Wood
❀️ Meriam van Os
Vishwadeep Rout (vishwadeep.rout@bsip.res.in)
2024-02-07 12:27:43

@Vishwadeep Rout has joined the channel

Elisa Davis (emily.davis@utas.edu.au)
2024-02-07 23:04:57

@Elisa Davis has joined the channel

Georgia Thomson-Laing (georgia.thomson-laing@cawthron.org.nz)
2024-02-08 02:22:47

@Georgia Thomson-Laing has joined the channel

Meriam van Os (meriam.vanos@postgrad.otago.ac.nz)
2024-02-08 02:44:54

Hi everyone! I'm Meriam and I'm a PhD student based at the University of Otago, Dunedin, New Zealand. I have a background in Forensic Science (Netherlands), but after doing a Summer project in genetics in NZ, I was hooked. I worked as a lab tech for a while, but my interests took me to do a graduate diploma in archaeology at Otago, where I got introduced to archaeogenetics- this was perfect! My Masters focused on the identification of pathogens in human remains from the Pacific. While I could not verify any with confidence, I did enjoy all the challenges it brought me! The bulk of my PhD will focus on analysing metagenomic data from kurī (extinct Māori dog) palaeofaeces- hoping to look at human-animal-environment interactions, such as settlement patterns, adaptation, and health and disease. I am very excited to come to ACAD and meet everyone!

πŸ‘‹ James Fellows Yates, Roberta Davidson, Vilma Perez, Shyamsundar Ravishankar
πŸ’© Jamie Wood
Elisa Davis (emily.davis@utas.edu.au)
2024-02-08 05:05:30

Hello all - I'm Elisa and I'm a first year PhD student based in the Institute for Marine and Antarctic Science at the University of Tasmania. My background is mainly in molecular and theoretical evolution, but in reality I just really love old things and how bioinformatics can used to understand them. My research is aiming to studying and optimizing bioinformatic pipelines for aDNA/sedaDNA research to isolate and verify rare (e.g. low abundance) taxa in marine sedimentary records of the Southern Ocean. I'm really looking forward to visiting the mainland for the first time, and get stuck in at the workshop. Cheers!

πŸ‘‹ James Fellows Yates, Roberta Davidson, Vilma Perez, Shyamsundar Ravishankar
πŸ‘ Jamie Wood
πŸ‘‹:skin_tone_3: Meriam van Os
Vilma PΓ©rez (vilma.bq@gmail.com)
2024-02-12 04:11:51

Hi all, I’m Vilma and I’m a postdoc at the Australian Centre for Ancient DNA, University of Adelaide. My background is in environmental microbial ecology, and I’ve always been interested in studying how microbes adapt to harsh environmental conditions. This interest led me to use ancient eDNA to explore how microbial communities respond to environmental changes over time. I’m looking forward to meeting everyone at the workshop!😊

πŸ‘‹ James Fellows Yates, Shyamsundar Ravishankar
Shyamsundar Ravishankar (shyamsundar.ravishankar@adelaide.edu.au)
2024-02-14 05:47:47

Hi all, I am Shyam, a research student at the Australian Centre for Ancient DNA, University of Adelaide, working on selection during the LGM. My background is in bioinformatics. I am fairly new to the world of ancient and environmental DNA. I used to build bioinformatic pipelines for medical genomics before this. I’m looking forward to learning more about environmental DNA and the challenges it presents.

πŸ‘‹ James Fellows Yates, Roberta Davidson
Lucinda Duxbury (lucinda.duxbury@utas.edu.au)
2024-02-14 07:26:25

@Lucinda Duxbury has joined the channel

Lucinda Duxbury (lucinda.duxbury@utas.edu.au)
2024-02-14 07:29:38

Hello, I'm Lucinda, I'm from Adelaide but just moved down to Tassie for my PhD on ancient DNA from polar marine sediments (and maybe ancient RNA if we can find it...). I want to get waaay better at bioinformatics over the next 3 ish years, this seems like the perfect place to start. Looking forward to coming home, catching up, and learning lots!

πŸ‘‹ James Fellows Yates, Shyamsundar Ravishankar, Roberta Davidson
Lucinda Duxbury (lucinda.duxbury@utas.edu.au)
2024-02-15 07:44:34

Hi again.... wondering if anyone might be able to help with some pre-reading troubleshooting. I'm trying to do the tutorials for chapter 12 and have been running into problems with some of the packages in the bioconda channel needing python 3.11 to work. I'm remoting in to the UTAS HPC server - which I see only has up to python 3.6.8. Does anyone know a workaround for this? Thanks in advance for the help :)

πŸŽ‰ Elisa Davis
James Fellows Yates (james_fellows_yates@eva.mpg.de)
2024-02-15 08:13:25

*Thread Reply:* If you're installing into a conda environment, then conda it should install the right version of python.

Which step are you stuck on?

Lucinda Duxbury (lucinda.duxbury@utas.edu.au)
2024-02-16 00:55:19

*Thread Reply:* Hey James, I'm stuck on 'conda env create -f denovo-assembly.yml'. It keeps failing to solve the environment. I have sent a screenshot of error message I get in the main chat (can't figure out how to attach here sorry!). Here is also an extract of this rather unruly string further detailing the problems: 'Solve for environment specs The following packages are incompatible β”œβ”€ pin-1 is installable and it requires β”‚ └─ python 3.11.** , which can be installed; └─ pydamage is not installable because it requires └─ matplotlib-base but there are no viable options β”œβ”€ matplotlib-base [2.1.2|2.2.3|2.2.4|2.2.5] would re quire β”‚ └─ python >=2.7,<2.8.0a0 , which conflicts with an y installable versions previously reported; β”œβ”€ matplotlib-base [2.1.2|2.2.3|...|3.3.4] would requ ire β”‚ └─ python >=3.6,<3.7.0a0 , which conflicts with an y installable versions previously reported; β”œβ”€ matplotlib-base [2.1.2|2.2.3|...|3.5.3] would requ ire β”‚ └─ python >=3.7,<3.8.0a0 , which conflicts with an y installable versions previously reported; β”œβ”€ matplotlib-base [2.2.4|2.2.5|...|3.7.3] would requ ire β”‚ └─ python >=3.8,<3.9.0a0 , which conflicts with an y installable versions previously reported; β”œβ”€ matplotlib-base [2.2.5|3.3.2|...|3.8.2] would requ ire β”‚ └─ python >=3.9,<3.10.0a0 , which conflicts with a ny installable versions previously reported; β”œβ”€ matplotlib-base [3.4.3|3.5.0|...|3.8.2] would requ ire β”‚ └─ python >=3.10,<3.11.0a0 , which conflicts with any installable versions previously reported; β”œβ”€ matplotlib-base [3.6.1|3.6.2|...|3.8.0] would requ ire β”‚ └─ pillow >=6.2.0 but there are no viable options β”‚ β”œβ”€ pillow [6.2.0|6.2.1] would require β”‚ β”‚ └─ python >=2.7,<2.8.0a0 , which conflicts w ith any installable versions previously reported; β”‚ β”œβ”€ pillow [6.2.0|6.2.1|...|8.3.2] would require β”‚ β”‚ └─ python >=3.6,<3.7.0a0 , which conflicts w ith any installable versions previously reported; β”‚ β”œβ”€ pillow [6.2.0|6.2.1|...|9.2.0] would require β”‚ β”‚ └─ python >=3.7,<3.8.0a0 , which conflicts w ith any installable versions previously reported;'

Lucinda Duxbury (lucinda.duxbury@utas.edu.au)
2024-02-16 01:46:45

*Thread Reply:* Hey James, just for your reference, here is the entire error message I get: (base) [duxburyl@rosalind-01 denovo-assembly]$ conda env create -f denovo-assembly.yml Retrieving notices: ...working... done Channels:

  • conda-forge
  • bioconda
  • defaults Platform: linux-64 Collecting package metadata (repodata.json): done Solving environment: failed

PackagesNotFoundError: The following packages are not available from current channels:

  • conda-forge::visidata
  • bioconda::samtools
  • bioconda::pydamage
  • bioconda::prokka
  • bioconda::metabat2
  • bioconda::megahit
  • bioconda::maxbin2
  • conda-forge::k8
  • bioconda::gunc
  • bioconda::fastp
  • bioconda::diamond
  • bioconda::concoct
  • bioconda::checkm-genome
  • bioconda::bowtie2
  • bioconda::bioawk

Current channels:

To search for alternate channels that may provide the conda package you're looking for, navigate to

<https://anaconda.org>

and use the search bar at the top of the page.

James Fellows Yates (james_fellows_yates@eva.mpg.de)
2024-02-16 05:10:16

*Thread Reply:* Ok for the time being can yuo open the environment.yml file and comment out (# at the beginning) or remove the conda-forge::k8s line

James Fellows Yates (james_fellows_yates@eva.mpg.de)
2024-02-16 05:10:20

*Thread Reply:* That works for me

James Fellows Yates (james_fellows_yates@eva.mpg.de)
2024-02-16 05:10:38

*Thread Reply:* I guess k8 is in thewrong place

James Fellows Yates (james_fellows_yates@eva.mpg.de)
2024-02-16 05:10:54

*Thread Reply:* Ahhh no

James Fellows Yates (james_fellows_yates@eva.mpg.de)
2024-02-16 05:10:57

*Thread Reply:* its been movd to bioconda

James Fellows Yates (james_fellows_yates@eva.mpg.de)
2024-02-16 05:26:51

*Thread Reply:* So just replace conda-forge::k8s with bioconda::k8s

Lucinda Duxbury (lucinda.duxbury@utas.edu.au)
2024-02-16 05:42:29

*Thread Reply:* Oh awesome - thanks James - I'll try that now πŸ™‚

Lucinda Duxbury (lucinda.duxbury@utas.edu.au)
2024-02-16 05:52:17

*Thread Reply:* Woohooo it's downloading now! I love coding again hahahah

πŸ˜† James Fellows Yates
Lucinda Duxbury (lucinda.duxbury@utas.edu.au)
2024-02-16 05:55:51

*Thread Reply:* For future reference, is it a common occurrence that packages will switch between channels?

Lucinda Duxbury (lucinda.duxbury@utas.edu.au)
2024-02-16 06:26:16

*Thread Reply:* Oh no.. for some reason the download just froze...

James Fellows Yates (james_fellows_yates@eva.mpg.de)
2024-02-16 08:26:24

*Thread Reply:* > For future reference, is it a common occurrence that packages will switch between channels? No I'm a bit confused about it

James Fellows Yates (james_fellows_yates@eva.mpg.de)
2024-02-16 08:26:30

*Thread Reply:* > Oh no.. for some reason the download just froze... Wht do you men?

Lucinda Duxbury (lucinda.duxbury@utas.edu.au)
2024-02-18 23:48:25

*Thread Reply:* False alarm - turned out it was just me being impatient and I cancelled the command halfway through it running and then tried again and then that wasn't working (I think it must have been because some of the things were already downloaded and others weren't so it was getting confused or something) - so I reinstalled miniconda and started again and now it's working! Phew! πŸ™‚

:mask_parrot: James Fellows Yates
Lucinda Duxbury (lucinda.duxbury@utas.edu.au)
2024-02-20 00:52:12

*Thread Reply:* Hello I'm back with another problem 😞

Lucinda Duxbury (lucinda.duxbury@utas.edu.au)
2024-02-20 00:59:33

*Thread Reply:* Not sure why it isn't working but the last line seems to point towards python 2.7 being a little problematic (I feel like I shouldn't be surprised...)

James Fellows Yates (james_fellows_yates@eva.mpg.de)
2024-02-20 10:41:24

*Thread Reply:* Hmm that worked for me... where did you run this command from? Were you in the newly created metamaps environment>?

Lucinda Duxbury (lucinda.duxbury@utas.edu.au)
2024-02-21 01:07:24

*Thread Reply:* yes - i ran it from my home directory in the newly created metawrap-env

Lucinda Duxbury (lucinda.duxbury@utas.edu.au)
2024-02-21 01:38:35

*Thread Reply:* not sure if relevant but just tried running from the /denovo-assembly directory and tried running it from my base environment - and neither of those worked either... hmmmm just another day and another problem running some code hey hahah

James Fellows Yates (james_fellows_yates@eva.mpg.de)
2024-02-21 09:01:45

*Thread Reply:* Hmm I'm not sure sure then sorry... The issue looks to be there is an R version that it can't find but I don't know why it would be on yours and not my machine.

But anyway metawrap is not used in the stuff we are doing for the workshop, and I'm flying today so I won't be able to look... Therefore I suggest you just read the rest of the chapter and skip the commands that require netawrap output (iirc metawrap is one of the last sections anyway)

Lucinda Duxbury (lucinda.duxbury@utas.edu.au)
2024-02-23 02:00:28

*Thread Reply:* Easy - no worries πŸ™‚ Safe flight and thanks for all your help!

Biancamaria Bonucci (biancamaria.bonucci@ut.ee)
2024-02-15 10:46:34

@Biancamaria Bonucci has joined the channel

Lucinda Duxbury (lucinda.duxbury@utas.edu.au)
2024-02-16 01:00:30

Error message for thread above!

James Fellows Yates (james_fellows_yates@eva.mpg.de)
2024-02-16 05:27:16

For anyone else: it seems the k8 package moved from conda-forge to bioconda or something.

I've updated the Zenodo record with the correct/working environment.yml file.

@Lucinda Duxbury you can either manually edit the file as I mentioned, or download the Zenodo again (the same DOI/link on the summer school page should work πŸ™‚ )

Elisa Davis (emily.davis@utas.edu.au)
2024-02-19 01:19:58

Hi all, I had a question in regards to the prelim ahead of the workshop. Would it be best to run through the associated tutorials with the chapters, or just focus on the theory?

James Fellows Yates (james_fellows_yates@eva.mpg.de)
2024-02-19 07:04:34

Chapter 6 is good to do if you're not particularly comfortable with working in the terminal.

For the rest it's fine to just read - they mostly are 'manual' versions of the pipeline sessions

πŸ‘ Vilma PΓ©rez, Lucinda Duxbury, Elisa Davis
James Fellows Yates (james_fellows_yates@eva.mpg.de)
2024-02-19 07:04:43

(at least for the screening and assembly sessions)

Biancamaria Bonucci (biancamaria.bonucci@ut.ee)
2024-02-19 19:13:41

Hi everyone!! I am Bianca and I am a PhD student based in Tartu (Estonia). My main project focuses on ancient dental calculus from Europe, spanning different time periods. I also perform wet-lab protocol development in my lab! Lately I have started working on soil samples from Neolithic Italy and Anglo-Saxon England. Looking forward to meeting you all in few days :smilingfacewith3hearts::catjam:

πŸ‘‹ James Fellows Yates, Elisa Davis, Vilma Perez, Roberta Davidson
πŸ‘‹:skin_tone_3: Meriam van Os
Leonard Taufik (leonard@adelaide.edu.au)
2024-02-20 04:42:31

@Leonard Taufik has joined the channel

Matt Campbell (matthew.campbell@curtin.edu.au)
2024-02-25 08:16:59

Hi all, Matt here and I’m a postdoc from the Trace and Environmental DNA Laboratory (TrEnD Lab) at Curtin University, Western Australia. I am currently investigating the potential of ancient sedimentary DNA as a tool for reconstructing Southwest Australia's paleoecology and paleoclimate during the late Quaternary period. For my Ph.D., I studied modern microbial mat communities using metatranscriptomics and organic geochemical techniques. Post-Ph.D., I joined the TrEnD Lab as a research technician facilitating laboratory operations and working on a variety of eDNA projects. In 2023, I become a post-doctoral researcher under the supervision of Prof Morten E. Allentoft.

πŸ‘‹ Vilma Perez, Biancamaria Bonucci, Roberta Davidson, James Fellows Yates
James Fellows Yates (james_fellows_yates@eva.mpg.de)
2024-02-25 23:25:29

Slides from my stuff for the whole workshop (@Mikkel Winther Pedersen’s will come later): https://drive.google.com/drive/folders/1bao_U6fi7eAHo3rwqIusVTxDOMBSXKVY?usp=sharing

James Fellows Yates (james_fellows_yates@eva.mpg.de)
2024-02-25 23:25:47

And good morning everyone πŸ‘‹

Shyamsundar Ravishankar (shyamsundar.ravishankar@adelaide.edu.au)
2024-02-26 01:00:08

@channel username and passwords: ssh ${USERNAME}@acadworkshop.uoa.cloud

James Fellows Yates (james_fellows_yates@eva.mpg.de)
2024-02-26 01:54:32

mkdir bin &amp;&amp; cd bin/ wget <https://repo.anaconda.com/miniconda/Miniconda3-latest-Linux-x86_64.sh>

Dawn lewis (dawn.lewis@adelaide.edu.au)
2024-02-26 01:55:03

@Dawn lewis has joined the channel

πŸ™Œ Leonard Taufik, Roberta Davidson
Kieren Mitchell (kieren.j.mitchell@gmail.com)
2024-02-26 01:56:59

@Kieren Mitchell has joined the channel

James Fellows Yates (james_fellows_yates@eva.mpg.de)
2024-02-26 02:02:16

source ~/.bashrc conda config --set auto_activate_base false

James Fellows Yates (james_fellows_yates@eva.mpg.de)
2024-02-26 02:06:40

conda config --add channels defaults conda config --add channels bioconda conda config --add channels conda-forge

James Fellows Yates (james_fellows_yates@eva.mpg.de)
2024-02-26 02:55:58
Shyamsundar Ravishankar (shyamsundar.ravishankar@adelaide.edu.au)
2024-02-26 02:56:12

sinfo -o "%P %c %m %t %l"

Mikkel Winther Pedersen (mwpedersen@sund.ku.dk)
2024-02-26 04:49:00

nextflow run nf-core/eager \ -r 2.5.0 \ -c envadna.conf \ -profile singularity \ --input '/shared/data/samplesheets/eagerinput.tsv' \ --outdir 'eager-screening/' \ --mapper 'bowtie2' \ --fasta '/shared/data/genomes/GCF000819615.1ViralProj14015genomic.fna' \ --runbamfiltering \ --bamunmappedtype fastq \ --metagenomiccomplexityfilter \ --runmetagenomicscreening \ --metagenomictool 'malt' \ --database '/shared/data/databases/maltdb/' \ --runmaltextract \ --maltextracttaxonlist '/shared/data/databases/maixnerminitargetlist.txt' \ --maltextractncbifiles '/shared/data/databases/' \ --skippreseq \ --skipdeduplication \ --skipdamagecalculation \ --skip_qualimap

James Fellows Yates (james_fellows_yates@eva.mpg.de)
2024-02-26 04:49:22

nextflow run nf-core/eager \ -r 2.5.0 \ -c envadna.conf \ -profile singularity \ --input '/shared/data/samplesheets/eager_input.tsv' \ --outdir 'eager-screening/' \ --mapper 'bowtie2' \ --fasta '/shared/data/genomes/GCF_000819615.1_ViralProj14015_genomic.fna' \ --run_bam_filtering \ --bam_unmapped_type fastq \ --metagenomic_complexity_filter \ --run_metagenomic_screening \ --metagenomic_tool 'malt' \ --database '/shared/data/databases/malt_db/' \ --run_maltextract \ --maltextract_taxon_list '/shared/data/databases/maixner_mini_targetlist.txt' \ --maltextract_ncbifiles '/shared/data/databases/' \ --skip_preseq \ --skip_deduplication \ --skip_damage_calculation \ --skip_qualimap

James Fellows Yates (james_fellows_yates@eva.mpg.de)
2024-02-26 05:12:07
James Fellows Yates (james_fellows_yates@eva.mpg.de)
2024-02-26 21:39:08

Anyone else at smoking ceremony

Dawn lewis (dawn.lewis@adelaide.edu.au)
2024-02-26 21:41:24

Yes Bianca and I are in the middle standing

James Fellows Yates (james_fellows_yates@eva.mpg.de)
2024-02-26 21:41:45

?

James Fellows Yates (james_fellows_yates@eva.mpg.de)
2024-02-27 01:41:49

<#C05SQA7RA81|classifier-committee>

Mikkel Winther Pedersen (mwpedersen@sund.ku.dk)
2024-02-27 02:10:42

pkgs_dirs:

  • /shared/conda-cache
Mikkel Winther Pedersen (mwpedersen@sund.ku.dk)
2024-02-27 02:14:43

srun --export=ALL --ntasks-per-node 4 --nodes 1 --mem 40G -t 01:00:00 --pty bash

Mikkel Winther Pedersen (mwpedersen@sund.ku.dk)
2024-02-27 02:18:49

srun --export=ALL --ntasks-per-node 4 --nodes 1 --mem 10G -t 01:00:00 --pty bash

Mikkel Winther Pedersen (mwpedersen@sund.ku.dk)
2024-02-27 04:18:47

srun --export=ALL --ntasks-per-node 4 --nodes 1 --mem 30G -t 02:00:00 --pty bash

Shyamsundar Ravishankar (shyamsundar.ravishankar@adelaide.edu.au)
2024-02-27 04:29:14

conda install -c conda-forge -c bioconda -c genomewalker bam-filter

Mikkel Winther Pedersen (mwpedersen@sund.ku.dk)
2024-02-27 04:29:25

conda install -c conda-forge -c bioconda -c genomewalker bam-filter

Mikkel Winther Pedersen (mwpedersen@sund.ku.dk)
2024-02-27 04:54:10

srun -n 1 --mem 1GB vsearch --fastx_uniques euks_data/ERR10493277_small-FINAL.fq.gz --fastqout ./ERR10493277_small-FINAL.vs.fq --minseqlength 30 --strand both

Mikkel Winther Pedersen (mwpedersen@sund.ku.dk)
2024-02-27 05:00:03

srun --export=ALL --ntasks-per-node 4 --nodes 1 --mem 10G -t 02:00:00 --pty bash

Mikkel Winther Pedersen (mwpedersen@sund.ku.dk)
2024-02-27 05:01:29

conda activate acad-euks_1

James Fellows Yates (james_fellows_yates@eva.mpg.de)
2024-02-27 05:01:55

WHEN YOU'RE READY TO RUN VSEARCH RUN:

srun -n 1 --mem 1GB vsearch --fastx_uniques ERR10493277_small-FINAL.fq.gz --fastqout ./ERR10493277_small-FINAL.vs.fq --minseqlength 30 --strand both

Mikkel Winther Pedersen (mwpedersen@sund.ku.dk)
2024-02-27 05:16:00

srun -n 1 --mem 5GB sga preprocess -m 30 --dust-threshold=1 ERR10493277_small-FINAL.vs.fq -o ERR10493277_small-FINAL.vs.d1.fq

Mikkel Winther Pedersen (mwpedersen@sund.ku.dk)
2024-02-27 05:21:33

https://pubmed.ncbi.nlm.nih.gov/16796549/

PubMed
Shyamsundar Ravishankar (shyamsundar.ravishankar@adelaide.edu.au)
2024-02-27 05:24:02

for file in ERR10493277_small-FINAL.vs.d1.fq; do grep 'M_A00706' $file | cut -f2 -d@ &gt; $file.readID.tmp ; done

Mikkel Winther Pedersen (mwpedersen@sund.ku.dk)
2024-02-27 05:24:05
Mikkel Winther Pedersen (mwpedersen@sund.ku.dk)
2024-02-27 05:26:11

grep 'M_A00706' ERR10493277_small-FINAL.vs.fq | grep -f $file.readID.tmp -v | cut -f2 -d@ &gt; $file.readID_lowcom.tmp

Shyamsundar Ravishankar (shyamsundar.ravishankar@adelaide.edu.au)
2024-02-27 06:08:12

srun --export=ALL --ntasks-per-node 4 --nodes 1 --mem 10G -t 02:00:00 --pty bash

Mikkel Winther Pedersen (mwpedersen@sund.ku.dk)
2024-02-27 06:08:20

srun --export=ALL --ntasks-per-node 4 --nodes 1 --mem 10G -t 02:00:00 --pty bash

Shyamsundar Ravishankar (shyamsundar.ravishankar@adelaide.edu.au)
2024-02-27 06:13:20

packages_to_install &lt;- c("dplyr", "readr", "tidyr")

Mikkel Winther Pedersen (mwpedersen@sund.ku.dk)
2024-02-27 06:42:40

sbatch -n 1 --mem 8GB /shared/data/euks_programmes/readlengthPLOT_fastq.sh

Kieren Mitchell (kieren.j.mitchell@gmail.com)
2024-02-27 07:18:58

keyboard cat

:catjam: Biancamaria Bonucci, Dawn lewis, Shyamsundar Ravishankar
πŸ˜† Dawn lewis, James Fellows Yates
Lucinda Duxbury (lucinda.duxbury@utas.edu.au)
2024-02-27 07:35:01

i dont know about you https://www.youtube.com/watch?v=AgFeZr5ptV8

YouTube
} TaylorSwiftVEVO (https://www.youtube.com/@TaylorSwiftVEVO)
Biancamaria Bonucci (biancamaria.bonucci@ut.ee)
2024-02-27 07:43:57

I called my script bowtie2.sh

Biancamaria Bonucci (biancamaria.bonucci@ut.ee)
2024-02-27 07:44:21

and it looks like this:

```#!/bin/bash

SBATCH --nodes=1

SBATCH --time=2:00:00

SBATCH --job-name=bowtie2_Bianca

SBATCH --mem=30G

SBATCH --output=bowtie2.out

bowtie2 --threads 4 -k 1000 -x /shared/data/euksdatabase/refseq211smalldedup.fa -D 15 -R 2 -N 0 -L 21 -i S,1,1.15 -U ERR10493277small-FINAL.vs.d1.fq --no-unal | samtools view -bS - > ERR10493277small-FINAL.vs.d1.fq.refseq211small_dedup.bam```

Biancamaria Bonucci (biancamaria.bonucci@ut.ee)
2024-02-27 07:44:53

and then i run it like this:

sbatch bowtie2.sh

Biancamaria Bonucci (biancamaria.bonucci@ut.ee)
2024-02-27 07:57:21

https://github.com/biancamariabonucci/acad_workshop2024/blob/main/README.md

πŸŽ‰ James Fellows Yates
Mikkel Winther Pedersen (mwpedersen@sund.ku.dk)
2024-02-27 11:01:09

@Biancamaria Bonucci, this is very good work on your repo! well done!! πŸ™Œ

πŸ‘ James Fellows Yates
❀️ Biancamaria Bonucci
Biancamaria Bonucci (biancamaria.bonucci@ut.ee)
2024-02-27 11:43:27

*Thread Reply:* Thank you Mikkel, I highly appreciate it!

Lucinda Duxbury (lucinda.duxbury@utas.edu.au)
2024-02-27 11:43:24

hey team, was thinking of going to see a circus show at the garden of unearthly delights tomorrow night (right by uni), if anyone else was keen, i was thinking of this one maybe which is like circus/comedy: https://adelaidefringe.com.au/fringetix/yuck-circus-af2024 at 7pm

adelaidefringe.com.au
❀️ Biancamaria Bonucci
Biancamaria Bonucci (biancamaria.bonucci@ut.ee)
2024-02-27 11:43:59

*Thread Reply:* This seems super nice, count me in!

❀️ Lucinda Duxbury
Roberta Davidson (roberta.davidson@adelaide.edu.au)
2024-02-27 21:38:53
❀️ Biancamaria Bonucci, Elisa Davis
πŸ˜† James Fellows Yates
πŸ‘€ Lucinda Duxbury
Shyamsundar Ravishankar (shyamsundar.ravishankar@adelaide.edu.au)
2024-02-28 02:04:22

nextflow run nf-core/mag \ -r 2.5.3 \ -c envadna.conf \ --max_memory 30.GB \ -profile singularity \ --input '/shared/data/samplesheets/mag_input.csv' \ --outdir ./mag-assembly \ --skip_spades \ --skip_spadeshybrid \ --ancient_dna \ --binning_map_mode own \ --skip_concoct \ --gtdb_db '/shared/data/databases/release214/' \ --busco_db '/shared/data/databases/bacteria_odb10/' \ --skip_krona \ --skip_metaeuk

James Fellows Yates (james_fellows_yates@eva.mpg.de)
2024-02-28 02:41:39
Mikkel Winther Pedersen (mwpedersen@sund.ku.dk)
2024-02-28 02:42:20

Antonio's repos are really neat and he has designed the bam-filter tool among others. https://github.com/genomewalker His focus is on ancient microbes.

Repositories
70
Followers
67
Mikkel Winther Pedersen (mwpedersen@sund.ku.dk)
2024-02-28 02:44:36

we have applied some of them in this preprint. but within the next 6 months we will release a ancient DNA tool kit (with loads of tools for ancient microbes). https://www.biorxiv.org/content/10.1101/2023.06.10.544454v1

bioRxiv
πŸ‘ Elisa Davis, Ying-Li Wu
πŸ‘:skin_tone_3: Meriam van Os
James Fellows Yates (james_fellows_yates@eva.mpg.de)
2024-02-28 02:59:18
Shyamsundar Ravishankar (shyamsundar.ravishankar@adelaide.edu.au)
2024-02-28 04:48:00

Quick loop to check your input files are in the correct place… for file in $(cat eager_prepared_input.tsv | cut -d$'\t' -f9 | tail -n+2); do ll $file ; done

Meriam van Os (meriam.vanos@postgrad.otago.ac.nz)
2024-02-28 05:07:19

nextflow run nf-core/eager -r 2.5.0 -c envadna.conf -profile singularity --input 'eager_prepared_input.tsv' --outdir ./eager-mapping --fasta '/shared/data/genomes/GCF_020735445.1_ASM2073544v1_genomic.fna.gz' --skip_fastqc --skip_adapterremoval --run_bedtools_coverage --anno_file '/shared/data/genomes/GCF_020735445.1_ASM2073544v1_genomic.gff.gz' --run_genotying --genotyping_tool 'ug' --run_bcftools_stats

James Fellows Yates (james_fellows_yates@eva.mpg.de)
2024-02-28 05:12:28

nextflow run nf-core/eager \ -r 2.5.0 \ -c envadna.conf \ -profile singularity \ --input '/shared/data/samplesheets/eager_prepared_input.tsv' \ --outdir 'eager-mapping/' \ --fasta '/shared/data/genomes/GCF_020735445.1_ASM2073544v1_genomic.fna.gz' \ --skip_fastqc \ --skip_adapterremoval \ --run_bedtools_coverage \ --anno_file '/shared/data/genomes/GCF_020735445.1_ASM2073544v1_genomic.gff.gz' \ --bam_unmapped_type discard \ --run_genotyping \ --genotyping_tool ug \ --gatk_ug_out_mode 'EMIT_ALL_SITES' \ --gatk_ug_genotype_model SNP \ --run_bcftools_stats

James Fellows Yates (james_fellows_yates@eva.mpg.de)
2024-02-28 05:39:53
Dawn lewis (dawn.lewis@adelaide.edu.au)
2024-02-28 05:47:12

https://x.com/willovvens/status/1760400254065947047?s=46&t=dn0VpPNJ3uT7U-FbUXatPA

X (formerly Twitter)
❀️ Roberta Davidson, Biancamaria Bonucci
πŸ€ Roberta Davidson
πŸ“ˆ Roberta Davidson
🀑 Roberta Davidson
Shyamsundar Ravishankar (shyamsundar.ravishankar@adelaide.edu.au)
2024-02-28 05:47:45
Lucinda Duxbury (lucinda.duxbury@utas.edu.au)
2024-02-28 06:22:25
Lucinda Duxbury (lucinda.duxbury@utas.edu.au)
2024-02-28 06:23:41

^ for the 6 people who confirmed! https://adelaidefringe.com.au/fringetix/yuck-circus-af2024 <- follow this link if others are keen

adelaidefringe.com.au
James Fellows Yates (james_fellows_yates@eva.mpg.de)
2024-02-28 07:08:05
James Fellows Yates (james_fellows_yates@eva.mpg.de)
2024-02-28 21:56:12

Random question: does anyone want a half-dozen eggs πŸ˜…?

πŸ˜… Roberta Davidson
Elisa Davis (emily.davis@utas.edu.au)
2024-02-28 23:07:51

Hey all - we're planning Semaphore Beach during the free afternoon today. The current plan is to leave from campus around 4 pm, so that way people could go fetch some swimmers of the like! Also, would anyone local be keen to go and could carpool? Lucinda has her car in today, but probs wont be able to fit everyone in the car

Dawn lewis (dawn.lewis@adelaide.edu.au)
2024-02-29 00:53:42

Eggs: yes And sorry I’m busy this afternoon and can’t help with carpooling

James Fellows Yates (james_fellows_yates@eva.mpg.de)
2024-02-29 01:08:21

*Thread Reply:* @Lucinda Duxbury also volunteered, I will just bring them tomorrow morning and you can decicde who wants them more πŸ˜†

Dawn lewis (dawn.lewis@adelaide.edu.au)
2024-02-29 01:09:37

*Thread Reply:* i’ll fight her for them… but she’s scrappy so I suspect she’ll win

πŸ˜† James Fellows Yates
James Fellows Yates (james_fellows_yates@eva.mpg.de)
2024-02-29 01:10:34

*Thread Reply:* Could do an quick-fire exam and whoever gets the most number of right answers gets the eggs 😬

πŸ‘Ž Dawn lewis
James Fellows Yates (james_fellows_yates@eva.mpg.de)
2024-02-29 01:10:37

*Thread Reply:* (jk I hate exams)

Lucinda Duxbury (lucinda.duxbury@utas.edu.au)
2024-02-29 01:11:24

*Thread Reply:* I am technically a volunteer fire fighter so might be in with a fighting chance

πŸ‘€ James Fellows Yates
:female_firefighter: James Fellows Yates, Dawn lewis
🦘 Dawn lewis
Thom Harvey (thomas.harvey@adelaide.edu.au)
2024-02-29 01:05:00

Super late introduction, sorry team! πŸ˜…

I'm Thom, a budding MPhil student (hopefully converting to PhD in about a year) under Jamie at ACAD here at the University of Adelaide, and I'll be looking at ancient DNA to analyse what species were present in sediment and cave samples from across the country, with the hope down the line for the information to go into a searchable database for species reintroduction efforts undertaken by groups such as NPWS, WWF and Bush Heritage. I'm originally from Aotearoa New Zealand :flag_nz:, where I did my Microbiology undergrad at the University of Otago, and I did my Master of Conservation Biology at Macquarie University in Sydney. I moved to Adelaide roughly August last year (time has really flown!), and it's been great meeting everyone over the course of the workshops so far this week!

πŸ‘‹ James Fellows Yates, Dawn lewis
James Fellows Yates (james_fellows_yates@eva.mpg.de)
2024-02-29 01:42:36

If you REALLY want to look into the SAM spec: here are all teh tags

http://samtools.github.io/hts-specs/SAMtags.pdf

James Fellows Yates (james_fellows_yates@eva.mpg.de)
2024-02-29 01:42:57
Mikkel Winther Pedersen (mwpedersen@sund.ku.dk)
2024-02-29 02:05:46

srun --export=ALL --ntasks-per-node 1 --nodes 1 --mem 1G -t 02:00:00 --pty bash source /apps/software/functions.sh

Shyamsundar Ravishankar (shyamsundar.ravishankar@adelaide.edu.au)
2024-02-29 02:12:35

/apps/software/metaDMG-cpp/misc/compressbam --input [BAM] --output [OUTPUT_BAM]

James Fellows Yates (james_fellows_yates@eva.mpg.de)
2024-02-29 02:17:54

diff -y &lt;(samtools view -H ERR10493277_small-FINAL.vs.d1.fq.refseq211_small_dedup.L21.N1.bam) &lt;(samtools view -H ERR10493277_small-FINAL.vs.d1.fq.refseq211_small_dedup.L21.N1.comp.bam)

Mikkel Winther Pedersen (mwpedersen@sund.ku.dk)
2024-02-29 02:28:05

conda env create -f /shared/data/euks_env/bam-filterENV.yaml

Mikkel Winther Pedersen (mwpedersen@sund.ku.dk)
2024-02-29 02:36:26

conda activate bam-filter3 pip install bam-filter

Elisa Davis (emily.davis@utas.edu.au)
2024-02-29 02:43:52

Figure 1 has a nice visualization of the LCA

βœ… Dawn lewis
Mikkel Winther Pedersen (mwpedersen@sund.ku.dk)
2024-02-29 03:20:27

filterBAM filter -e 0.6 -m 8G -t 4 -n 3 -A 92 -a 95 -N --bam ERR10493277_small-FINAL.vs.d1.fq.refseq211_small_dedup.L22.comp.reassign.bam --stats ERR10493277_small-FINAL.vs.d1.fq.refseq211_small_dedup.L22.comp.reassign.bam.stats.tsv.gz --stats-filtered ERR10493277_small-FINAL.vs.d1.fq.refseq211_small_dedup.L22.comp.reassign.bam.stats-filtered.tsv.gz --bam-filtered ERR10493277_small-FINAL.vs.d1.fq.refseq211_small_dedup.L22.comp.reassign.filtered.bam

James Fellows Yates (james_fellows_yates@eva.mpg.de)
2024-02-29 03:26:27

zcat ERR10493277_small-FINAL.vs.d1.fq.refseq211_small_dedup.L22.comp.reassign.bam.stats.tsv.gz | tabview -

Vilma Perez (vilma.perez@adelaide.edu.au)
2024-02-29 04:16:48

Hey everybody! Tomorrow’s dinner will be in Pizza e Mozzarella (33b Pirie Street) Bar from 6:00 PM to 7:45 PM. We’ll have a chef selection of pizzas and lettuce salads πŸ™‚ https://pizzaemozzarellabar.com/

❀️ Thom Harvey, James Fellows Yates
πŸ™Œ Kieren Mitchell
πŸ• Thom Harvey
:spaam: Meriam van Os
James Fellows Yates (james_fellows_yates@eva.mpg.de)
2024-02-29 10:02:14
James Fellows Yates (james_fellows_yates@eva.mpg.de)
2024-02-29 10:02:30

Found this restaurant and couldn't resist...

πŸ˜‚ Elisa Davis
James Fellows Yates (james_fellows_yates@eva.mpg.de)
2024-02-29 10:02:40

FASTA pasta 🀣

Lucinda Duxbury (lucinda.duxbury@utas.edu.au)
2024-02-29 12:45:03

*Thread Reply:* wait, is fasta pasta an adelaide thing?

Lucinda Duxbury (lucinda.duxbury@utas.edu.au)
2024-02-29 12:45:33

*Thread Reply:* pasta is actually just an acronym for pastAncient

πŸ˜† James Fellows Yates
James Fellows Yates (james_fellows_yates@eva.mpg.de)
2024-02-29 20:35:38

*Thread Reply:* > wait, is fasta pasta an adelaide thing? > No clue, but I've seen a couple of them here now...

James Fellows Yates (james_fellows_yates@eva.mpg.de)
2024-02-29 10:07:31

Your food also gets delivered by a cat here.

James Fellows Yates (james_fellows_yates@eva.mpg.de)
2024-02-29 10:23:20
:catjam: Dawn lewis, Thom Harvey
Biancamaria Bonucci (biancamaria.bonucci@ut.ee)
2024-02-29 11:00:20

AHAHAHHAHA amazingggg

Biancamaria Bonucci (biancamaria.bonucci@ut.ee)
2024-02-29 11:01:06

we got a bit of beach and gelatoooo

😱 James Fellows Yates, Roberta Davidson
❀️ Dawn lewis
James Fellows Yates (james_fellows_yates@eva.mpg.de)
2024-02-29 11:15:02

*Thread Reply:* jealous

James Fellows Yates (james_fellows_yates@eva.mpg.de)
2024-02-29 20:46:41

Umm @Elisa Davis... your gargammel problem might already be solved, had an epiphany in the shower: https://bioconda.github.io/recipes/gargammel-slim/README.html

Check the description!

πŸ˜† Roberta Davidson
πŸ™Œ Elisa Davis
πŸŽ‰ Elisa Davis
Elisa Davis (emily.davis@utas.edu.au)
2024-02-29 23:51:53

*Thread Reply:* thank goodness!!!

Mikkel Winther Pedersen (mwpedersen@sund.ku.dk)
2024-02-29 21:30:38

A new and relevant paper for your morning coffee https://onlinelibrary.wiley.com/doi/10.1002/edn3.514

πŸ™Œ Vilma Perez, Thom Harvey
πŸ‘ James Fellows Yates
James Fellows Yates (james_fellows_yates@eva.mpg.de)
2024-02-29 23:02:45

And @Roberta Davidson wanna make your own metromaps wiothout having to learn graphic design? Rike posted this on the nf-core slack: https://tennessine.co.uk/metro/

tennessine.co.uk
πŸ™Œ Roberta Davidson, Biancamaria Bonucci, Shyamsundar Ravishankar
Roberta Davidson (roberta.davidson@adelaide.edu.au)
2024-02-29 23:05:13

*Thread Reply:* Yessss!! I was actually just thinking of making one for a paper yesterday

James Fellows Yates (james_fellows_yates@eva.mpg.de)
2024-02-29 23:16:51

*Thread Reply:* DO IT

❀️ Roberta Davidson
Dawn lewis (dawn.lewis@adelaide.edu.au)
2024-02-29 23:28:19

If anyone wants to try some Indigenous Australian foods, there is a stall in the central markets which is closed Sundays but open today until 9pm tonight. https://shop.adelaidecentralmarket.com.au/collections/something-wild

Adelaide Central Market
❀️ Lucinda Duxbury, Shyamsundar Ravishankar
πŸ‘€ James Fellows Yates
Elisa Davis (emily.davis@utas.edu.au)
2024-02-29 23:51:29

*Thread Reply:* wow this looks so cool!!!

Dawn lewis (dawn.lewis@adelaide.edu.au)
2024-02-29 23:31:51

Who is keen to go on a walk tomorrow at Horsnell Gully? We’re sorting out car pooling https://www.parks.sa.gov.au/parks/horsnell-gully-giles-conservation-parks

National Parks and Wildlife Service South Australia
Dawn lewis (dawn.lewis@adelaide.edu.au)
2024-02-29 23:36:16
Georgia Thomson-Laing (georgia.thomson-laing@cawthron.org.nz)
2024-02-29 23:36:53

*Thread Reply:* I am keen!

Biancamaria Bonucci (biancamaria.bonucci@ut.ee)
2024-02-29 23:40:27

*Thread Reply:* Sameee

Biancamaria Bonucci (biancamaria.bonucci@ut.ee)
2024-02-29 23:40:35

*Thread Reply:* Which time did you want to leave?

Dawn lewis (dawn.lewis@adelaide.edu.au)
2024-02-29 23:45:17

*Thread Reply:* No idea

Leonard Taufik (leonard@adelaide.edu.au)
2024-02-29 23:48:09

*Thread Reply:* that's a very Dawn-like reply 🀣

Mikkel Winther Pedersen (mwpedersen@sund.ku.dk)
2024-02-29 23:51:18

https://github.com/genomewalker/bam-filter

Stars
8
Language
Python
James Fellows Yates (james_fellows_yates@eva.mpg.de)
2024-03-01 00:00:23

Try this for viewing the table :):

zcat ERR10493277_small-FINAL.vs.d1.fq.refseq211_small_dedup.L22.comp.reassign.bam.stats-filtered.tsv.gz | column -t -s $'\t' | less -S -N

Mikkel Winther Pedersen (mwpedersen@sund.ku.dk)
2024-03-01 00:05:17
Mikkel Winther Pedersen (mwpedersen@sund.ku.dk)
2024-03-01 00:42:29

@Elisa Davis the data is here /shared/data/euksdata/ERR10493277small-FINAL.vs.d1.fq.refseq211smalldedup.L22.comp.reassign.bam.stats.tsv.gz

Meriam van Os (meriam.vanos@postgrad.otago.ac.nz)
2024-03-01 00:47:08
Kieren Mitchell (kieren.j.mitchell@gmail.com)
2024-03-01 00:48:22

*Thread Reply:* We aren't sure exactly what this means. The references with 0 coverage evenness are probably bad though...

Shyamsundar Ravishankar (shyamsundar.ravishankar@adelaide.edu.au)
2024-03-01 00:47:13

Breadth vs Exp Breadth to show the eveness of cov for each contig

Georgia Thomson-Laing (georgia.thomson-laing@cawthron.org.nz)
2024-03-01 00:48:38

Exp breadth vs evenness of coverage with the reference length shown by colour gradient

Gludhug (gludhug.purnomo@adelaide.edu.au)
2024-03-01 00:49:01
Matt Campbell (matthew.campbell@curtin.edu.au)
2024-03-01 00:49:26

Covevenness vs referencelength

Leonard Taufik (leonard@adelaide.edu.au)
2024-03-01 00:50:18

visualising unfiltered data

Dawn lewis (dawn.lewis@adelaide.edu.au)
2024-03-01 00:50:58

*Thread Reply:*

Lucinda Duxbury (lucinda.duxbury@utas.edu.au)
2024-03-01 00:51:26
Shyamsundar Ravishankar (shyamsundar.ravishankar@adelaide.edu.au)
2024-03-01 00:56:01
Shyamsundar Ravishankar (shyamsundar.ravishankar@adelaide.edu.au)
2024-03-01 01:09:57

The top left have low cov_eveness indicating stacking of reads in maybe conserved regions.

Mikkel Winther Pedersen (mwpedersen@sund.ku.dk)
2024-03-01 01:18:43

srun --export=ALL --ntasks-per-node 3 --nodes 1 --mem 8G -t 02:00:00 --pty bash

Mikkel Winther Pedersen (mwpedersen@sund.ku.dk)
2024-03-01 01:19:23

source /apps/software/functions.sh

Mikkel Winther Pedersen (mwpedersen@sund.ku.dk)
2024-03-01 01:23:35

metaDMG-cpp lca --names /shared/data/euks_taxonomy/names.dmp --nodes /shared/data/euks_taxonomy/nodes.dmp --acc2tax /shared/data/euks_taxonomy/small_accession2taxid.txt.gz --sim_score_low 0.93 --sim_score_high 1.0 --how_many 30 --weight_type 1 --fix_ncbi 0 --threads 4 --bam ERR10493277_small-FINAL.vs.fq.refseq211_small_dedup.L22.comp.reassign.filtered.bam --out_prefix ERR10493277_small-FINAL.vs.ds1.fq.refseq211_small_dedup.L22.comp.reassign.filtered

Mikkel Winther Pedersen (mwpedersen@sund.ku.dk)
2024-03-01 01:32:18

metaDMG-cpp dfit ERR10493277_small-FINAL.vs.fq.refseq211_small_dedup.L22.comp.reassign.filtered.bdamage.gz --names /shared/data/euks_taxonomy/names.dmp --nodes /shared/data/euks_taxonomy/nodes.dmp --showfits 2 --lib ds --out ERR10493277_small-FINAL.vs.fq.refseq211_small_dedup.L22.comp.reassign.filtered

Mikkel Winther Pedersen (mwpedersen@sund.ku.dk)
2024-03-01 01:43:15

Only use this metaDMG-cpp version and repo https://github.com/metaDMG-dev/metaDMG-cpp

Stars
2
Language
C++
Mikkel Winther Pedersen (mwpedersen@sund.ku.dk)
2024-03-01 02:14:39

metaDMG-cpp aggregate ERR10493277_small-FINAL.vs.fq.refseq211_small_dedup.L22.comp.reassign.filtered.bdamage.gz -lcastat ERR10493277_small-FINAL.vs.fq.refseq211_small_dedup.L22.comp.reassign.filtered.stat.gz --names /shared/data/euks_taxonomy/names.dmp --nodes /shared/data/euks_taxonomy/nodes.dmp

Mikkel Winther Pedersen (mwpedersen@sund.ku.dk)
2024-03-01 02:19:01

zcat ERR10493277_small-FINAL.vs.fq.refseq211_small_dedup.L21.N1.comp.reassign.filtered.bdamage.gz.stat.gz | paste - &lt;(zcat ERR10493277_small-FINAL.vs.fq.refseq211_small_dedup.L21.N1.comp.reassign.filtered.dfit.gz) &gt; ERR10493277_small-FINAL.vs.fq.refseq211_small_dedup.L21.N1.comp.reassign.filtered.combined_metaDMG_output.txt

Mikkel Winther Pedersen (mwpedersen@sund.ku.dk)
2024-03-01 02:23:20

zcat ERR10493277_small-FINAL.vs.fq.refseq211_small_dedup.L22.comp.reassign.filtered.bdamage.gz.stat.gz | paste - &lt;(zcat ERR10493277_small-FINAL.vs.fq.refseq211_small_dedup.L22.comp.reassign.filtered.dfit.gz) &gt; ERR10493277_small-FINAL.vs.fq.refseq211_small_dedup.L22.comp.reassign.filtered.combined_metaDMG_output.txt

Mikkel Winther Pedersen (mwpedersen@sund.ku.dk)
2024-03-01 03:25:04

Just adding the combined data for the fun this afternoon.

Kieren Mitchell (kieren.j.mitchell@gmail.com)
2024-03-01 04:26:33
Shyamsundar Ravishankar (shyamsundar.ravishankar@adelaide.edu.au)
2024-03-01 04:30:39
Roberta Davidson (roberta.davidson@adelaide.edu.au)
2024-03-01 04:32:50
Matt Campbell (matthew.campbell@curtin.edu.au)
2024-03-01 04:36:02
Mikkel Winther Pedersen (mwpedersen@sund.ku.dk)
2024-03-01 04:47:38

zcat ERR10493277small-FINAL.vs.fq.refseq211small_dedup.L22.comp.reassign.filtered.lca.gz | grep Mammut | awk '{print "> " $1 "\n" $2}'

Kieren Mitchell (kieren.j.mitchell@gmail.com)
2024-03-01 04:54:54
Kieren Mitchell (kieren.j.mitchell@gmail.com)
2024-03-01 05:06:37

Headers are fixed in this version (I think)

Leonard Taufik (leonard@adelaide.edu.au)
2024-03-01 05:08:51

Final fix

Mikkel Winther Pedersen (mwpedersen@sund.ku.dk)
2024-03-01 05:09:45

Thanks Kieren! the file is also here now /shared/data/euksdata/combinedmetaDMGout.txt.gz

Kieren Mitchell (kieren.j.mitchell@gmail.com)
2024-03-01 05:15:12
Kieren Mitchell (kieren.j.mitchell@gmail.com)
2024-03-01 05:19:09
Lucinda Duxbury (lucinda.duxbury@utas.edu.au)
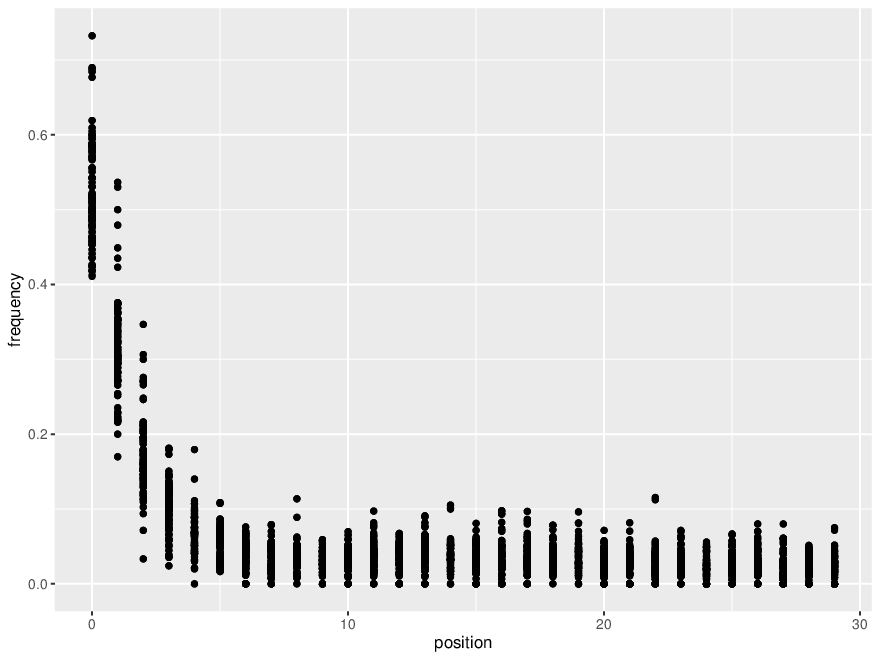
2024-03-01 06:01:55

```library(readr) library(ggplot2) library(tidyr) library(dplyr) library(stringr)

Set wd

setwd("C:/Users/duxburyl/OneDrive - University of Tasmania/PhD/Tassie PhD/Workshops and conferences/Bioinformatics workshop (Feb 2024)")

Load the table

data <- readr::readtsv("combinedmetaDMGout.txt")

Remove useless columns (using an magrittr R pipe cntl shft M)

dataforplot <- data %>% select("samplename", "name", contains("fwf")) %>% pivotlonger(namesto="position", valuesto = "frequency", cols=contains("fwf")) %>% mutate(position=str_replace(position, "fwf",""), position=as.numeric(position))

Make the plot

mycoolplot <- ggplot(dataforplot, aes(x=position, y=frequency)) + geompoint() + themebw()

ggsave("metadmgplot.pdf", device=pdf(), plot = mycoolplot)```

Matt Campbell (matthew.campbell@curtin.edu.au)
2024-03-01 06:20:34

*Thread Reply:*

Lucinda Duxbury (lucinda.duxbury@utas.edu.au)
2024-03-01 06:27:24

*Thread Reply:* ^filtered for plants

Kieren Mitchell (kieren.j.mitchell@gmail.com)
2024-03-01 06:18:00
Kieren Mitchell (kieren.j.mitchell@gmail.com)
2024-03-01 06:24:49

*Thread Reply:*

Dawn lewis (dawn.lewis@adelaide.edu.au)
2024-03-01 06:18:55
James Fellows Yates (james_fellows_yates@eva.mpg.de)
2024-03-01 06:29:23

2000 colour palettes for R: https://emilhvitfeldt.github.io/r-color-palettes/discrete.html

πŸ‘€ Leonard Taufik, Biancamaria Bonucci, Thom Harvey
🀯 Elisa Davis
Mikkel Winther Pedersen (mwpedersen@sund.ku.dk)
2024-03-01 07:01:55
Dawn lewis (dawn.lewis@adelaide.edu.au)
2024-03-01 07:06:56

I’m skipping dinner so my phone number is I’m on whatsapp or you can text me

James Fellows Yates (james_fellows_yates@eva.mpg.de)
2024-03-01 07:16:02

Dinn er tonight: https://spaam-community.slack.com/archives/C06HATZKXFA/p1709176608580899

} Vilma Perez (https://spaam-community.slack.com/team/U017VQNPM62)
Lucinda Duxbury (lucinda.duxbury@utas.edu.au)
2024-03-01 07:21:04

Beers at MyLoverCindy on Pirie St - opens from 5:30pm

Lucinda Duxbury (lucinda.duxbury@utas.edu.au)
2024-03-01 07:21:42

Proposal for tomorrow: β€’ Sleep in followed by β€’ casual brunch at the Adelaide Central Markets (oo la la) at 10:30am and THEN β€’ a walk in the hills (Horsnell Gully - a well kept local secret you lucky bastards) with the option of either (time will be a limiting factor) β€’ a cold one at the Scenic hotel or β€’ coffee and cake at Ashton post office cafe

βœ… Dawn lewis
Lucinda Duxbury (lucinda.duxbury@utas.edu.au)
2024-03-01 07:24:48

I have 3 spots in my car - my number is 0478 296 431

Lucinda Duxbury (lucinda.duxbury@utas.edu.au)
2024-03-01 07:25:39

Lucinda Duxbury (lucinda.duxbury@utas.edu.au)
2024-03-01 07:25:50

um only 1 spot remaining now......

Lucinda Duxbury (lucinda.duxbury@utas.edu.au)
2024-03-01 07:25:57

selling quick!!!

James Fellows Yates (james_fellows_yates@eva.mpg.de)
2024-03-01 07:27:57

CORRECTION: BEERS AT UNIBAR (Luci told me to say that)

πŸ‘ Mikkel Winther Pedersen, Lucinda Duxbury
James Fellows Yates (james_fellows_yates@eva.mpg.de)
2024-03-01 07:27:58

Then πŸ•πŸ•πŸ•πŸ•πŸ•πŸ•πŸ•πŸ•πŸ•

Ying-Li Wu (ying-li.wu@uwa.edu.au)
2024-03-01 08:34:16

I'm having some stomach issues so will not be joining dinner, but enjoy!

James Fellows Yates (james_fellows_yates@eva.mpg.de)
2024-03-01 08:39:29

*Thread Reply:* Sorry to hear that, I hope you feel better soon!

❀️ Ying-Li Wu
Siobhan Evans (siobhan.evans@adelaide.edu.au)
2024-03-01 12:36:10
😎 James Fellows Yates, Biancamaria Bonucci, Shyamsundar Ravishankar, Roberta Davidson, Dawn lewis
Lucinda Duxbury (lucinda.duxbury@utas.edu.au)
2024-03-01 23:04:35

*Thread Reply:* I love that there is absolutely no context for this - Thom we found your glasses!!!

πŸ˜† James Fellows Yates, Dawn lewis
James Fellows Yates (james_fellows_yates@eva.mpg.de)
2024-03-01 23:09:41

*Thread Reply:* Ok that makes much more sense 🀣

James Fellows Yates (james_fellows_yates@eva.mpg.de)
2024-03-01 23:09:53

*Thread Reply:* Thought you were just showing off your swag because why not 🀣

πŸ˜† Dawn lewis, Elisa Davis
Lucinda Duxbury (lucinda.duxbury@utas.edu.au)
2024-03-01 23:10:18

*Thread Reply:* look honestly por que no los dos

πŸ˜† James Fellows Yates, Elisa Davis, Biancamaria Bonucci
πŸ’― James Fellows Yates
Biancamaria Bonucci (biancamaria.bonucci@ut.ee)
2024-03-01 12:51:56

Hey guys!! For tomorrow Lucy and I are going tomeet around 9.30 at the central market, feel to join whenever β™₯️

❀️ Lucinda Duxbury
Biancamaria Bonucci (biancamaria.bonucci@ut.ee)
2024-03-01 21:56:09

Dear all, a bit of SPA(A)M here!! Join the channel #spaamtisch to follow our series of seminars, as well as to come together with other nice people to tackle problems, speak about tools, methods, etc :spaamtisch: :spaamtisch:

☝️ James Fellows Yates, Elisa Davis
πŸ™Œ Roberta Davidson
Dawn lewis (dawn.lewis@adelaide.edu.au)
2024-03-01 23:18:04

Just confirming Liam and I only need to bring one car today?

Lucinda Duxbury (lucinda.duxbury@utas.edu.au)
2024-03-01 23:51:00

I think that should be good!

Lucinda Duxbury (lucinda.duxbury@utas.edu.au)
2024-03-01 23:52:23

i will probably be there closer to 9:45am sorry! add me on whatsapp - shall we meet at the grote st end of the markets at sun mi's sushi? i will go there!!!!

Lucinda Duxbury (lucinda.duxbury@utas.edu.au)
2024-03-01 23:53:23

i do not have access to slack on my phone but can get whatsapp πŸ™‚

James Fellows Yates (james_fellows_yates@eva.mpg.de)
2024-03-02 03:33:51

From the tidy-master himself:

hadleywickham@fosstodon.org - Periodic reminder: The only way to write good code is to write tons of shitty code first. Feeling shame about bad code stops you from getting to good code.

https://fosstodon.org/@hadleywickham/112021309035884210

Fosstodon
πŸ‘ Leonard Taufik, Biancamaria Bonucci
❀️ Roberta Davidson, Lucinda Duxbury, Matt Campbell
Leonard Taufik (leonard@adelaide.edu.au)
2024-03-02 06:48:07
🐨 James Fellows Yates, Biancamaria Bonucci, Lucinda Duxbury, Shyamsundar Ravishankar
πŸšΆβ€β™€οΈ James Fellows Yates
❀️ Vilma Perez
Biancamaria Bonucci (biancamaria.bonucci@ut.ee)
2024-03-02 07:14:22
⛰️ James Fellows Yates, Shyamsundar Ravishankar
❀️ Vilma Perez
Biancamaria Bonucci (biancamaria.bonucci@ut.ee)
2024-03-02 21:01:22

Hei guys!! Georgia and I are going to Semaphore today! Everyone welcome to join ☺️

❀️ Lucinda Duxbury
Lucinda Duxbury (lucinda.duxbury@utas.edu.au)
2024-03-04 06:25:51

Hey nerds, I made a start on the 'glossary of ancient metagenomics acronyms'. It's a markdown (.md) file that will go on the SPAAM GitHub when it's finished. (I think) you can fork it from my GitHub and add to it like that. Then I can approve those changes or something... I guess I will learn as I go! P.S. Does anyone know if you can sort table rows (e.g. alphabetically) in a markdown file?

πŸ‘€ Mikkel Winther Pedersen, Biancamaria Bonucci, Roberta Davidson, Shyamsundar Ravishankar
🀩 James Fellows Yates, Biancamaria Bonucci, Roberta Davidson, Shyamsundar Ravishankar
🦘 Dawn lewis, Biancamaria Bonucci, Roberta Davidson, Shyamsundar Ravishankar
❀️ Elisa Davis, Shyamsundar Ravishankar
Roberta Davidson (roberta.davidson@adelaide.edu.au)
2024-03-05 01:17:50

*Thread Reply:* sent pull request!!

James Fellows Yates (james_fellows_yates@eva.mpg.de)
2024-03-05 01:57:13

*Thread Reply:* Or maybe you can make the little tutorial @Roberta Davidson 😏

πŸ˜† Roberta Davidson
Lucinda Duxbury (lucinda.duxbury@utas.edu.au)
2024-03-05 02:04:58

*Thread Reply:* do i need to approve anything @Roberta Davidson - or can you access?

Roberta Davidson (roberta.davidson@adelaide.edu.au)
2024-03-05 02:05:53

*Thread Reply:* That's the bit I'm not sure how to do

Roberta Davidson (roberta.davidson@adelaide.edu.au)
2024-03-05 02:06:04

*Thread Reply:* I think you have to approve or merge or something

James Fellows Yates (james_fellows_yates@eva.mpg.de)
2024-03-05 02:06:32

*Thread Reply:* @Lucinda Duxbury this is what you normally do when you get a pull request

Lucinda Duxbury (lucinda.duxbury@utas.edu.au)
2024-03-05 02:08:21

*Thread Reply:* what is what you normally do?

Lucinda Duxbury (lucinda.duxbury@utas.edu.au)
2024-03-05 02:08:29

*Thread Reply:* im confuuuuused

James Fellows Yates (james_fellows_yates@eva.mpg.de)
2024-03-05 02:09:20

*Thread Reply:* 1. Go to the pull request tab

  1. Click the one that you want to look at
  2. Read the opening comment on the default 'conversations ' tab to see what should be in the changes
  3. Click on the files tab to see all the proposed changes (red lines are original, green are the new changes/additions)
  4. If you have comments or want changes to the proposal you can press the green 'review' button in the top right, and leave the comment there - you can either leave a generic comment, an approval, or request changes (the latter means the PR can't be merged until the reviewer gives approval)
  5. Once you've given the approval, you go back to the conversations tab, and at the bottom you should see a 'merge' button
πŸ‘ Elisa Davis, Roberta Davidson
πŸ™Œ Roberta Davidson, Biancamaria Bonucci
:air_punch: Roberta Davidson, Biancamaria Bonucci
James Fellows Yates (james_fellows_yates@eva.mpg.de)
2024-03-05 02:09:57

*Thread Reply:* And once it's merged, it's in your main branch and you can continuing editing but with Robbi's changes in it

Lucinda Duxbury (lucinda.duxbury@utas.edu.au)
2024-03-05 02:11:12

*Thread Reply:* Oh sweet - thanks James! Robbi have you made any changes yet?

James Fellows Yates (james_fellows_yates@eva.mpg.de)
2024-03-05 02:12:20

*Thread Reply:* Yes she has! Check the pull request tab on your fork :)

Lucinda Duxbury (lucinda.duxbury@utas.edu.au)
2024-03-05 02:15:31

*Thread Reply:* ohhhhh i getit igetit igetit! πŸ™‚

:mask_parrot: James Fellows Yates, Roberta Davidson
Lucinda Duxbury (lucinda.duxbury@utas.edu.au)
2024-03-05 02:19:30

*Thread Reply:* yeeeewwwwww

Lucinda Duxbury (lucinda.duxbury@utas.edu.au)
2024-03-05 02:19:39

*Thread Reply:* codingcodingcoding!!!

:typingcat: James Fellows Yates, Roberta Davidson, Elisa Davis, Shyamsundar Ravishankar
Lucinda Duxbury (lucinda.duxbury@utas.edu.au)
2024-03-05 02:19:53

*Thread Reply:* githubgithubgithub!!!

:spam_dance: James Fellows Yates, Roberta Davidson, Shyamsundar Ravishankar
Roberta Davidson (roberta.davidson@adelaide.edu.au)
2024-03-05 03:21:57

*Thread Reply:* Thanks James!!

Shyamsundar Ravishankar (shyamsundar.ravishankar@adelaide.edu.au)
2024-03-05 07:53:58

*Thread Reply:* What is β€˜Glossary of Ancient Metagenomic Acronyms’? Do you mean GAMA?

πŸ˜† James Fellows Yates, Roberta Davidson
πŸ’© Lucinda Duxbury
James Fellows Yates (james_fellows_yates@eva.mpg.de)
2024-03-05 11:41:10

*Thread Reply:* I hear @Lucinda Duxbury screaming from here

:toad_scream: Shyamsundar Ravishankar, Lucinda Duxbury
Lucinda Duxbury (lucinda.duxbury@utas.edu.au)
2024-03-07 02:48:33

*Thread Reply:* I hate that "GAMA" has a ring to it

πŸ˜† James Fellows Yates, Shyamsundar Ravishankar
James Fellows Yates (james_fellows_yates@eva.mpg.de)
2024-03-04 10:23:56

It's the next SPAAM project! :mask_parrot:

Yes, it will go in the website when it's ready!

No you can't automatically order table rows unfortunately in basic markdown (there are IDE - hehehehe Plugins that can do it though probably)

James Fellows Yates (james_fellows_yates@eva.mpg.de)
2024-03-04 10:25:30

@channel please let @Lucinda Duxbury of anything else missing (either acronyms, or definitions) and when Luci says she's ready I'll explain how to make a pull request from a fork and how reviews work :) can do a mini tutorial here if you want

❀️ Biancamaria Bonucci, Lucinda Duxbury, Roberta Davidson, Shyamsundar Ravishankar
James Fellows Yates (james_fellows_yates@eva.mpg.de)
2024-03-05 03:27:56

A longer version, with screenshots is in the textbook:)

James Fellows Yates (james_fellows_yates@eva.mpg.de)
2024-03-05 03:28:36

Albeit without the review section

❀️ Roberta Davidson, Lucinda Duxbury, Biancamaria Bonucci, Elisa Davis
Lucinda Duxbury (lucinda.duxbury@utas.edu.au)
2024-03-07 02:47:07

So I had a dream about coding last night... I don't know if there is any going back from here?

πŸ˜† Dawn lewis
James Fellows Yates (james_fellows_yates@eva.mpg.de)
2024-03-07 02:48:27
πŸ‘€ Lucinda Duxbury, Elisa Davis, Biancamaria Bonucci
Dawn lewis (dawn.lewis@adelaide.edu.au)
2024-03-08 01:44:05

In case anyone doesn’t have instagram / doesn’t follow acad (which you should!) here is the bit of footage from the end of the smoking ceremony

https://www.instagram.com/reel/C3035IJhmgT/?igsh=MXdsMWwxNGppNHZ4NQ==

❀️ James Fellows Yates, Biancamaria Bonucci
James Fellows Yates (james_fellows_yates@eva.mpg.de)
2024-03-09 08:22:14

@Shyamsundar Ravishankar @Roberta Davidson (or whoever at womad) in case you have slack on your phone - Budos Band, nice to listen to boring to watch so just stand under a mister where you can hear them 🀣

πŸ˜† Roberta Davidson, Shyamsundar Ravishankar
Roberta Davidson (roberta.davidson@adelaide.edu.au)
2024-03-09 08:24:53

*Thread Reply:* Cool! I'm on +61401669032 if you wanna Whatsapp us

πŸ‘ James Fellows Yates
Lucinda Duxbury (lucinda.duxbury@utas.edu.au)
2024-03-14 00:09:05

https://www.nature.com/articles/d41586-024-00520-y have you guys seen/heard about this?

Nature
❀️ Meriam van Os, Biancamaria Bonucci, Dawn lewis
Lucinda Duxbury (lucinda.duxbury@utas.edu.au)
2024-03-14 00:25:09
Mikkel Winther Pedersen (mwpedersen@sund.ku.dk)
2024-04-09 09:04:54

Hello all! I hope you are all well!! A couple of things, first

😍 James Fellows Yates, Biancamaria Bonucci, Roberta Davidson, Elisa Davis, Shyamsundar Ravishankar
Mikkel Winther Pedersen (mwpedersen@sund.ku.dk)
2024-04-09 09:05:14

your gift card has gotten prime location!!:)

Mikkel Winther Pedersen (mwpedersen@sund.ku.dk)
2024-04-09 09:06:13

second, I have been updating the https://github.com/miwipe/acad_workshop2024 so it should be up to date. Let me know if you have any issues at all!!?

Language
Shell
Last updated
a month ago
:partyparrot: James Fellows Yates, Biancamaria Bonucci, Meriam van Os, Roberta Davidson, Shyamsundar Ravishankar
Mikkel Winther Pedersen (mwpedersen@sund.ku.dk)
2024-04-09 09:08:19

third, Nicola Vogel, who created the Euka programme for fast mitochondrial identification of mammalian species has agreed to make a presentation of the tool and a tutorial. I need help to figure out when would be a good time during the day and then of course a date. All are welcome, also friends and colleagues.

πŸ’ƒ James Fellows Yates, Biancamaria Bonucci, Vilma Perez, Elisa Davis
πŸ™Œ:skin_tone_3: Meriam van Os
Mikkel Winther Pedersen (mwpedersen@sund.ku.dk)
2024-04-09 09:10:38

fourth, we recently made a documentary about ancient DNA, is mostly about Eske and ancient DNA, but quite a few of the heavy aDNA PIs are featuring, and of course I am also there for my 15 sec of fameπŸ˜‚

you can find it here Hunt for the Oldest DNA [52” PBS NOVA], 2024 https://vimeo.com/904646278?share=copy PW: DNA2024

:catjam: Biancamaria Bonucci, Roberta Davidson, Elisa Davis
😏 Meriam van Os, Roberta Davidson, Shyamsundar Ravishankar
πŸ™Œ Vilma Perez, Roberta Davidson
Mikkel Winther Pedersen (mwpedersen@sund.ku.dk)
2024-04-09 09:11:00

Over and out!!

Meriam van Os (meriam.vanos@postgrad.otago.ac.nz)
2024-04-09 11:16:43

Hi all! I remember we talked about a tool that you can use to calculate how much more data you can generate from a library without exhausting it. Does anyone remember what it's called? πŸ™ƒ

James Fellows Yates (james_fellows_yates@eva.mpg.de)
2024-04-09 11:17:07

Genomics: preseq

James Fellows Yates (james_fellows_yates@eva.mpg.de)
2024-04-09 11:17:14

Metagenomics: Nonpareil

πŸ™Œ Roberta Davidson, Elisa Davis
❀️ Meriam van Os, Elisa Davis